Welcome to GlobalChemMall

ALL CATEGORIES
Categories
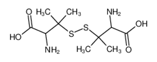
Picture of DL-penicillamine disulfide

DL-penicillamine disulfide

Get Latest Price >

FOB Price contact us for price

Origin: China

Cas No: 312-10-7

Specification: 99%min

Min order Quantity: 1 /kg

Supply Ability: 50 mt/month

Lead time: 7 days for OEM, 3 days for ready goods

Vendor:

Payment Terms:

Inquiry now

* Send an Inquiry to us

Add to wishlist

* Name your price
* Start order doesn't mean buying now

  • Products Specification
  • Product Description
  • Property

    CAS No.: 312-10-7 Formula: C10H20N2O4S2 Molecular Weight: 296.40700

    Basic Info

    Chemical Name DL-penicillamine disulfide
    Synonyms

    penicillamine disulfide;
    α,α'-Diamino-β,β'-disulfandiyl-di-isovaleriansaeure;
    α,α'-diamino-β,β'-disulfanediyl-di-isovaleric acid;

    CAS No. 312-10-7
    Molecular Formula C10H20N2O4S2
    Molecular Weight 296.40700
    PSA 177.24000
    LogP 2.14940

    Safety Info

    HS Code 2930909090

Hot tags: dl-penicillamine disulfide, China, manufacturers, suppliers, factory, wholesale, low price, high quality