Welcome to GlobalChemMall

ALL CATEGORIES
Categories
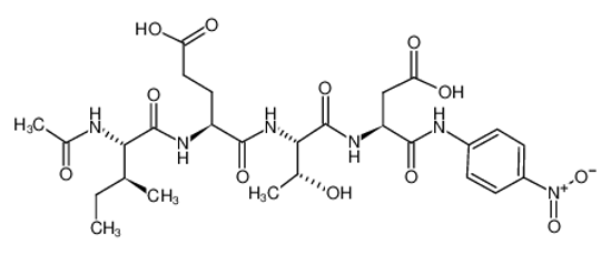
Picture of AC-IETD-PNA

AC-IETD-PNA

Get Latest Price >

FOB Price contact us for price

Origin: China

Cas No: 219138-21-3

Specification: 99%min

Min order Quantity: 1 /kg

Supply Ability: 50 mt/month

Lead time: 7 days for OEM, 3 days for ready goods

Vendor:

Payment Terms:

Inquiry now

* Send an Inquiry to us

Add to wishlist

* Name your price
* Start order doesn't mean buying now

  • Products Specification
  • Product Description
  • Property

    CAS No.: 219138-21-3 Formula: C27H38N6O12 Molecular Weight: 638.62400

    Basic Info

    Chemical Name AC-IETD-PNA
    Synonyms

    AC-IETD-AMC;
    PASE-8 SUBSTRATE;
    AC-IETD-MCA;
    AX-IETD-AMC;
    GRANZYME B SUBSTRATE;
    PASE-8 SUBSTRATE I;
    Z-ALA-ALA-ASP-AFC;
    AC-ILE-GLU-THR-ASP-MCA;

    CAS No. 219138-21-3
    Molecular Formula C27H38N6O12
    Molecular Weight 638.62400
    PSA 286.15000
    LogP 1.41860

    Properties

    Appearance & Physical State white
    Storage Condition -20ºC

Hot tags: ac-ietd-pna, China, manufacturers, suppliers, factory, wholesale, low price, high quality