Welcome to GlobalChemMall

ALL CATEGORIES
Categories
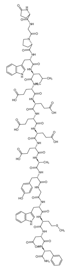
Picture of 10047-33-3

10047-33-3

Get Latest Price >

FOB Price contact us for price

Origin: China

Cas No: 10047-33-3

Specification: 99%min

Min order Quantity: 1 /kg

Supply Ability: 100 mt/month

Lead time: 7 days for OEM, 3 days for ready goods

Vendor:

Payment Terms:

Inquiry now

* Send an Inquiry to us

Add to wishlist

* Name your price
* Start order doesn't mean buying now

  • Products Specification
  • Product Description
  • Property

    CAS No.: 10047-33-3 Formula: C97H124N20O31S Molecular Weight: 2098.20000

    Basic Info

    Chemical Name 10047-33-3
    Synonyms

    EINECS 233-157-0;
    pyroGlu-Gly-Pro-Trp-Leu-Glu-Glu-Glu-Glu-Glu-Ala-Tyr-Gly-Trp-Met-Asp-Phe-NH2;

    CAS No. 10047-33-3
    Molecular Formula C97H124N20O31S
    Molecular Weight 2098.20000
    PSA 829.91000
    LogP 3.36340

    Properties

    Appearance & Physical State COA
    Storage Condition -20ºC

    Safety Info

    Safety Statements S22-S24/25

Hot tags: 10047-33-3, China, manufacturers, suppliers, factory, wholesale, low price, high quality