Welcome to GlobalChemMall

ALL CATEGORIES
Categories
Picture of 4-AMINOSALICYLIC ACID CALCIUM SALT

4-AMINOSALICYLIC ACID CALCIUM SALT

Get Latest Price >

FOB Price contact us for price

Origin: China

Cas No: 6059-16-1

Specification: 99%min

Min order Quantity: 1 /kg

Supply Ability: 80 mt/month

Lead time: 7 days for OEM, 3 days for ready goods

Vendor:

Payment Terms:

Inquiry now

* Send an Inquiry to us

Add to wishlist

* Name your price
* Start order doesn't mean buying now

  • Products Specification
  • Product Description
  • Property

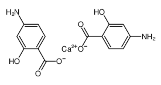
    CAS No.: 6059-16-1 Formula: C14H12CaN2O6 Molecular Weight: 344.33300

    Basic Info

    Chemical Name 4-AMINOSALICYLIC ACID CALCIUM SALT
    Synonyms

    P-AMINO SALICYLIC ACID CALCIUM SALT;
    4-AMINESALICYLICACIDCALCIUMSALT;
    4-AMINO-2-HYDROXYBENZOIC ACID CALCIUM SALT;
    P-AMINO SALICYLIC ACID CALCIUM;
    CALCII PARA-AMINOSALICYLAS;
    CALCIUM P-AMINO SALICYLATE;
    CALCIUM PARA-AMINOSALICYLAS;

    CAS No. 6059-16-1
    Molecular Formula C14H12CaN2O6
    Molecular Weight 344.33300
    PSA 172.76000
    LogP -0.16180

    Safety Info

    HS Code 2918230000

Hot tags: 4-aminosalicylic acid calcium salt, China, manufacturers, suppliers, factory, wholesale, low price, high quality