Welcome to GlobalChemMall

ALL CATEGORIES
Categories
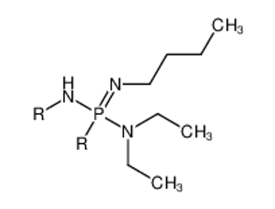
Picture of 27754-67-2

27754-67-2

Get Latest Price >

FOB Price contact us for price

Origin: China

Cas No: 27754-67-2

Specification: 99%min

Min order Quantity: 1 /kg

Supply Ability: 80 mt/month

Lead time: 7 days for OEM, 3 days for ready goods

Vendor:

Payment Terms:

Inquiry now

* Send an Inquiry to us

Add to wishlist

* Name your price
* Start order doesn't mean buying now

  • Products Specification
  • Product Description
  • Property

    CAS No.: 27754-67-2 Formula: C8H20N3P Molecular Weight: 189.23800

    Basic Info

    Chemical Name
    Synonyms

    CAS No. 27754-67-2
    Molecular Formula C8H20N3P
    Molecular Weight 189.23800
    PSA 37.44000
    LogP 3.06860

Hot tags: 27754-67-2, China, manufacturers, suppliers, factory, wholesale, low price, high quality